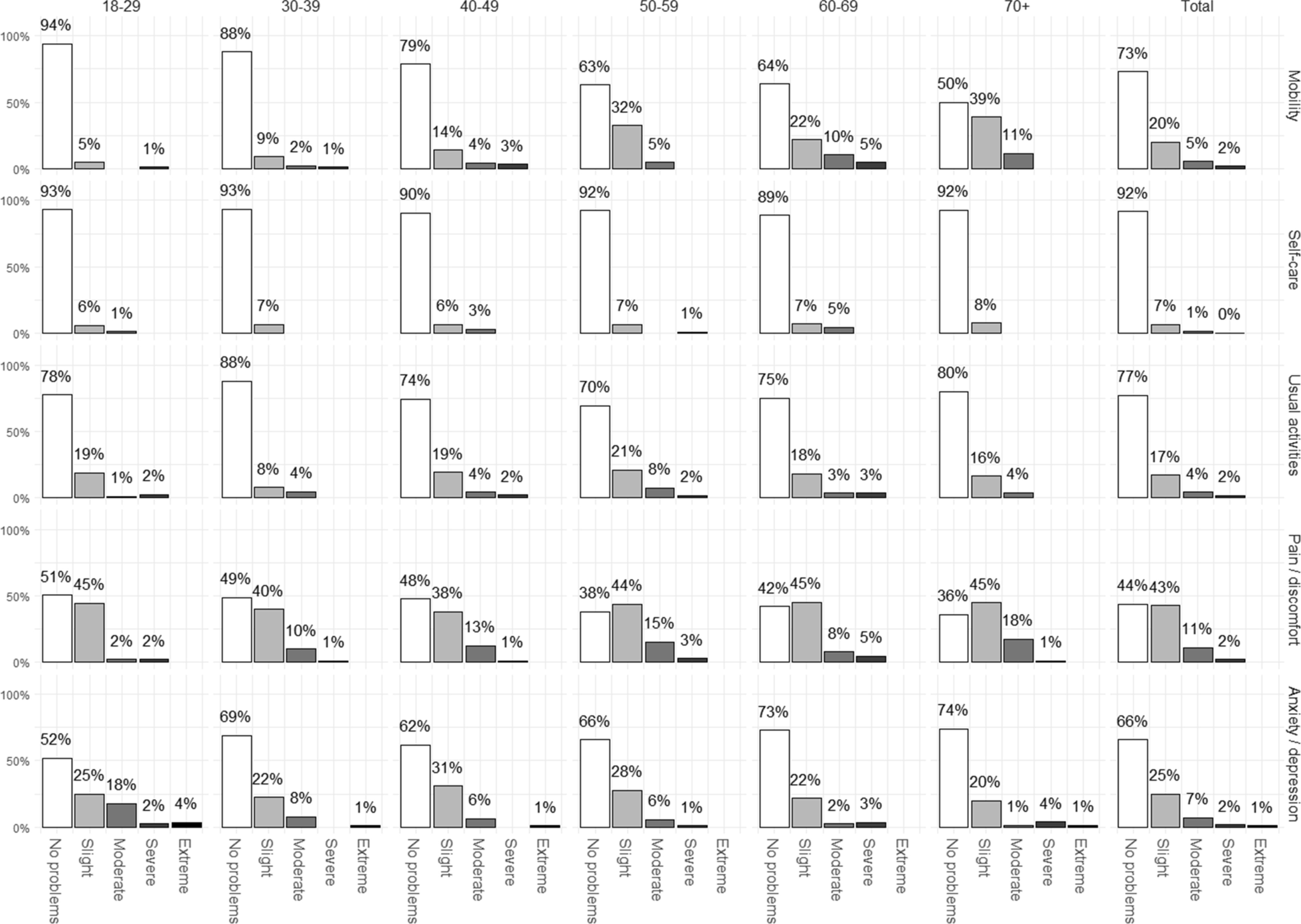
Fig. 5From: EQ-5D-5L Slovenian population normsProblems reported by dimension, problem level and age group in menBack to article page