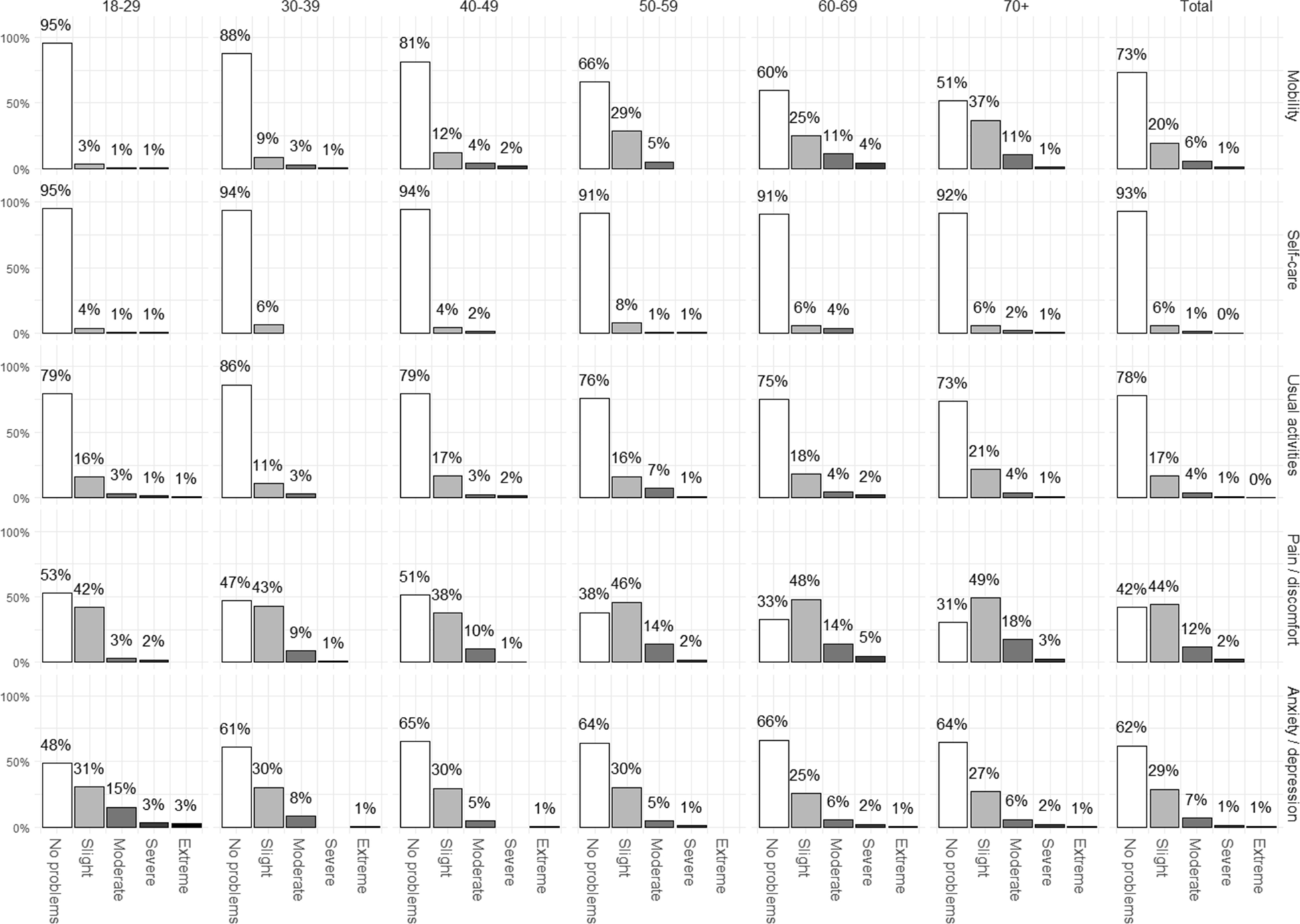
Fig. 4From: EQ-5D-5L Slovenian population normsProblems reported by dimension, problem level and age group, general populationBack to article page